2022年上海专升本《高数二》预习试题及答案七
[单选题]
()。A连续的
B可导的
C左极限≠右极限
D左极限=右极限
参考答案:D
[单选题]设A和B是两个事件,则下列命题()不正确。
A![]()
B![]()
C![]()
D![]()
参考答案:C
[问答题]
参考答案:
1/2
[问答题](填空题)
参考答案:![]()
[问答题]
。
参考答案:
[问答题]y=arctanex,则y’|x=0=______。
参考答案:
1/2
[问答题](解答题)
(本题满分10分)
参考答案:

[问答题]
参考答案:
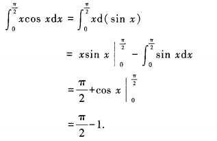
[问答题]计算![]()
参考答案:

本文标签:上海专升本 高等数学 2022年上海专升本《高数二》预习试题及答案七
转载请注明:文章转载自(http://www.zsbsh.cn)
以上就是关于“2022年上海专升本《高数二》预习试题及答案七”的全部内容,想获取更多上海专升本的相关资讯,如上海专升本常见问题、院校动态、
政策公告、考试题库、复习备考、专业目录。敬请关注下方“上海专升本微信公众号”或加入“上海专升本考生交流群”和千万专升本考生一起学习,共同进步~
欢迎关注“上海专升本网”微信公众平台![]() (上海专升本资讯,一手掌握!) |
欢迎加入“上海专升本网”微信交流群![]() (扫码进群,领取《 |
《上海专升本网》免责声明:
(一)由于考试政策等各方面情况的不断调整与变化,本网站所提供的考试信息仅供参考,请以省考试院及院校官方发布公布的正式信息为准。
(二)本站文章内容信息来源出处标注为其他平台的稿件均为转载稿,免费转载出于非商业性学习目的,版权归原作者所有。如您对内容、版权等问题存在异议请与本站联系,我们会及时进行处理解决,联系邮箱:812379481@qq.com。
- 2022年上海专升本《高数二》预习试题及 08-14
- 2022年上海专升本《高数二》预习试题及 08-14
- 2021年上海专升本《高等数学一》章节试 03-09
- 2022年上海专升本《高数二》预习试题及 08-14
- 2022年上海专升本《高数二》预习试题及 08-14
- 2022年上海专升本《高数二》预习试题及 08-14
- 2022年上海专升本《高数二》预习试题及 08-14
- 2022年上海专升本《高数二》预习试题及 08-14
- 2022年上海专升本《高数二》预习试题及 08-14
- 2022年上海专升本《高数二》预习试题及 08-14









